Официальное опубликование правовых актов
ОФИЦИАЛЬНОЕ ОПУБЛИКОВАНИЕ
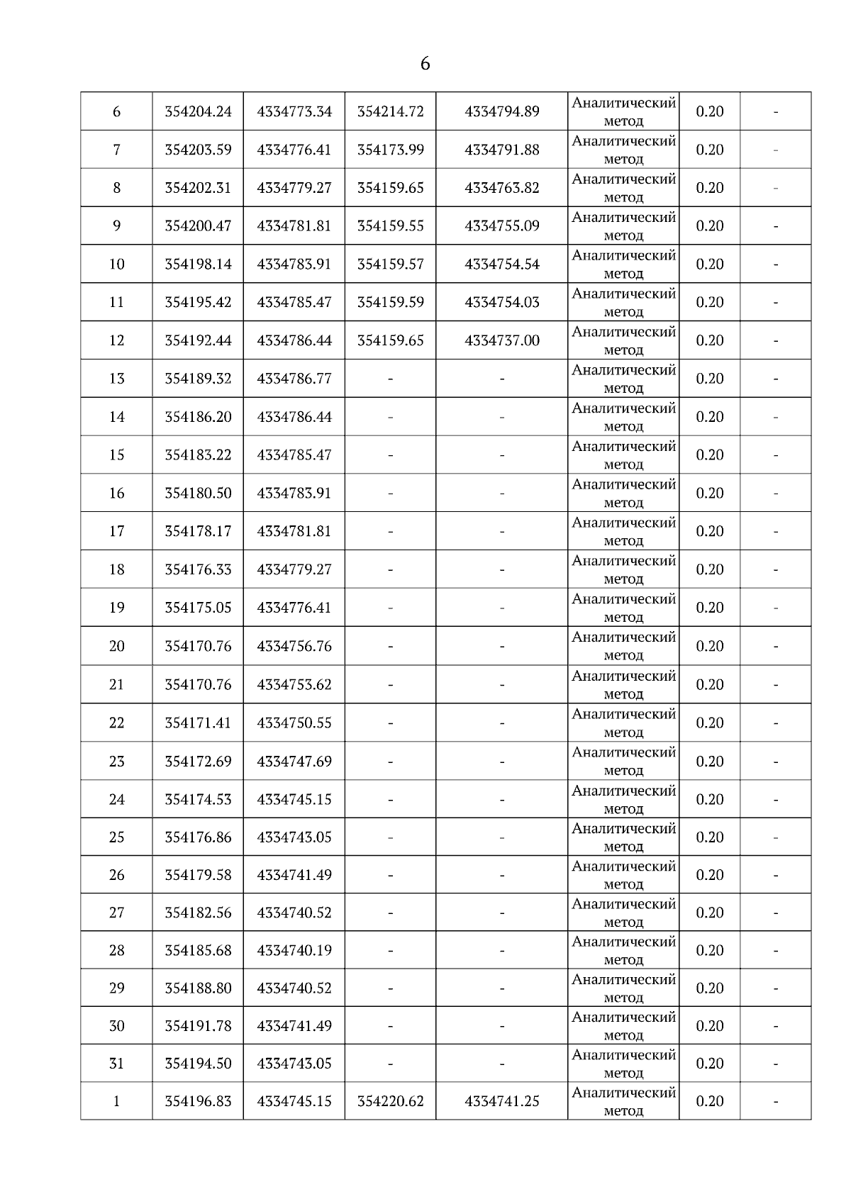
Приказ Департамента природных ресурсов и охраны окружающей среды Томской области от 21.08.2024 № 130
"О внесении изменений в приказ Департамента природных ресурсов и охраны окружающей среды Томской области от 17.04.2023 № 71"
(Зарегистрирован 23.08.2024 № 1047-63/2024)
Номер опубликования: 7001202408270013
Дата опубликования: 27.08.2024
Страница №6 из 17:
Увеличить