Официальное опубликование правовых актов
ОФИЦИАЛЬНОЕ ОПУБЛИКОВАНИЕ
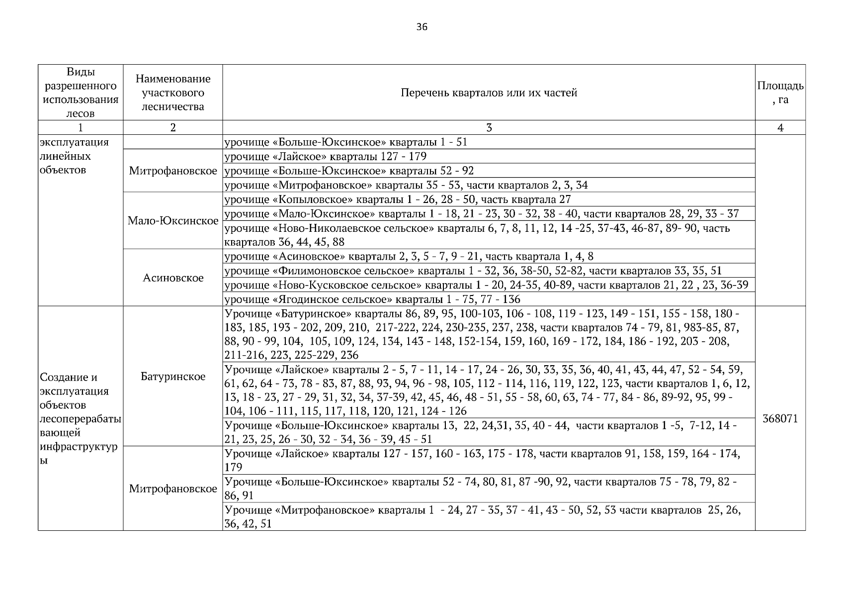
Приказ Департамента лесного хозяйства Томской области от 15.08.2024 № 66
"Об утверждении лесохозяйственного регламента Асиновского лесничества Томской области"
(Зарегистрирован 15.08.2024 № 991-74/2024)
Номер опубликования: 7001202408160004
Дата опубликования: 16.08.2024
Страница №36 из 215:
Увеличить