Официальное опубликование правовых актов
ОФИЦИАЛЬНОЕ ОПУБЛИКОВАНИЕ
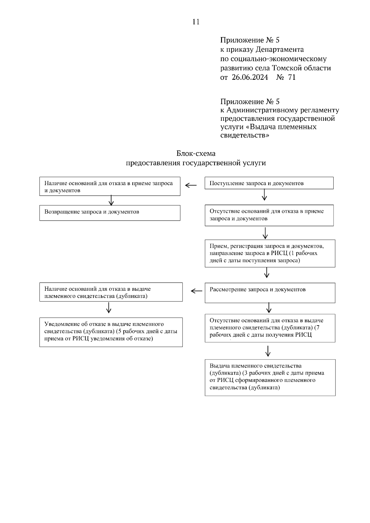
Приказ Департамента по социально-экономическому развитию села Томской области от 26.06.2024 № 71
"О внесении изменений в приказ Департамента по социально-экономическому развитию села Томской области от 28.03.2018 № 41"
(Зарегистрирован 28.06.2024 № 776-55/2024)
Номер опубликования: 7001202407010031
Дата опубликования: 01.07.2024
Страница №11 из 12:
Увеличить