Официальное опубликование правовых актов
ОФИЦИАЛЬНОЕ ОПУБЛИКОВАНИЕ
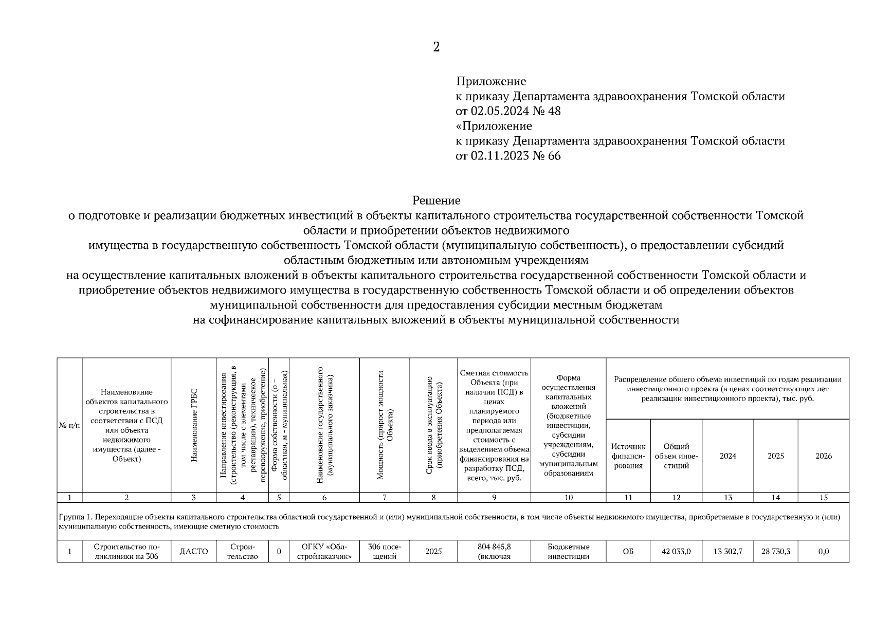
Приказ Департамента здравоохранения Томской области от 02.05.2024 № 48
"О внесении изменения в приказ Департамента здравоохранения Томской области от 02.11.2023 № 66"
(Зарегистрирован 06.05.2024 № 577-60/2024)
Номер опубликования: 7001202405070001
Дата опубликования: 07.05.2024
Страница №2 из 4:
Увеличить