Приказ Департамента тарифного регулирования Томской области от 08.04.2024 № 8-61
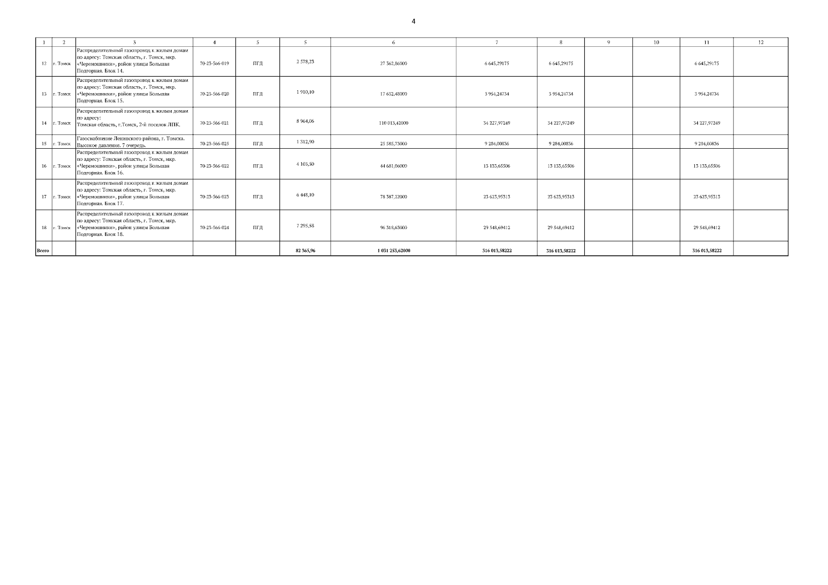
"Об определении планового экономически обоснованного размера недостаточности финансовых средств газораспределительной организации для покрытия расходов на реализацию мероприятий по технологическому присоединению в рамках догазификации Общества с ограниченной ответственностью "Русский проект" (ИНН 7017363566) на территории Томской области на 1 квартал 2024 года"
(Зарегистрирован 11.04.2024 № 431-53/2024)
"Об определении планового экономически обоснованного размера недостаточности финансовых средств газораспределительной организации для покрытия расходов на реализацию мероприятий по технологическому присоединению в рамках догазификации Общества с ограниченной ответственностью "Русский проект" (ИНН 7017363566) на территории Томской области на 1 квартал 2024 года"
(Зарегистрирован 11.04.2024 № 431-53/2024)
Номер опубликования: 7001202404110003
Дата опубликования:
11.04.2024
