Официальное опубликование правовых актов
ОФИЦИАЛЬНОЕ ОПУБЛИКОВАНИЕ
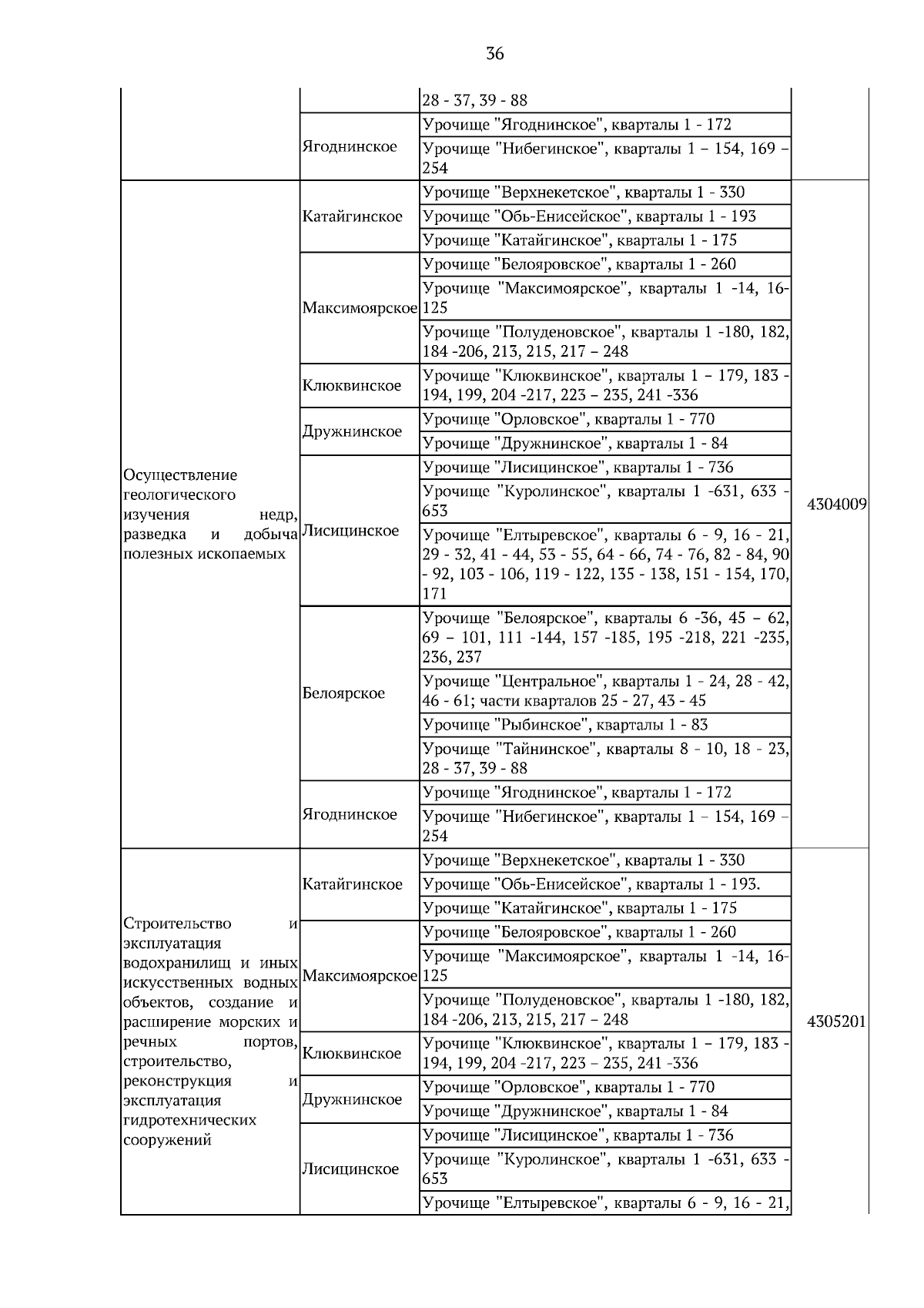
Приказ Департамента лесного хозяйства Томской области от 29.01.2024 № 5
"Об утверждении лесохозяйственного регламента Верхнекетского лесничества Томской области"
(Зарегистрирован 30.01.2024 № 107-74/2024)
Номер опубликования: 7001202401310004
Дата опубликования: 31.01.2024
Страница №36 из 186:
Увеличить