Официальное опубликование правовых актов
ОФИЦИАЛЬНОЕ ОПУБЛИКОВАНИЕ
Приказ Департамента природных ресурсов и охраны окружающей среды Томской области от 26.12.2023 № 201
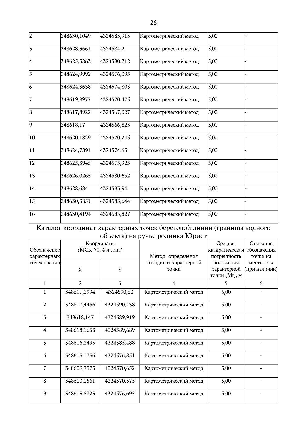
"Об установлении местоположения береговых линий (границ водных объектов), границ водоохранных зон и границ прибрежных защитных полос водных объектов Университетско-Ботанической родниковой зоны в г. Томске Томской области"
(Зарегистрирован 28.12.2023 № 1710-63/2023)
Номер опубликования: 7001202401040001
Дата опубликования: 04.01.2024
Страница №26 из 219:
Увеличить