Официальное опубликование правовых актов
ОФИЦИАЛЬНОЕ ОПУБЛИКОВАНИЕ
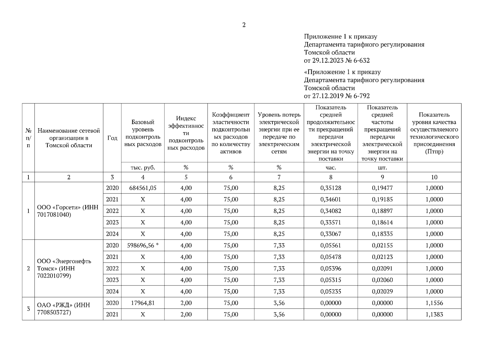
Приказ Департамента тарифного регулирования Томской области от 29.12.2023 № 6-632
"О внесении изменений в приказ Департамента тарифного регулирования Томской области от 27.12.2019 № 6-792"
(Зарегистрирован 30.12.2023 № 1773-53/2023)
Номер опубликования: 7001202312300031
Дата опубликования: 30.12.2023
Страница №2 из 4:
Увеличить