Официальное опубликование правовых актов
ОФИЦИАЛЬНОЕ ОПУБЛИКОВАНИЕ
Приказ Департамента ЖКХ и государственного жилищного надзора Томской области от 28.12.2023 № 46
"О внесении изменения в приказ Департамента ЖКХ и государственного жилищного надзора Томской области от 16.06.2022 № 40"
(Зарегистрирован 28.12.2023 № 1736-71/2023)
Номер опубликования: 7001202312290001
Дата опубликования: 29.12.2023
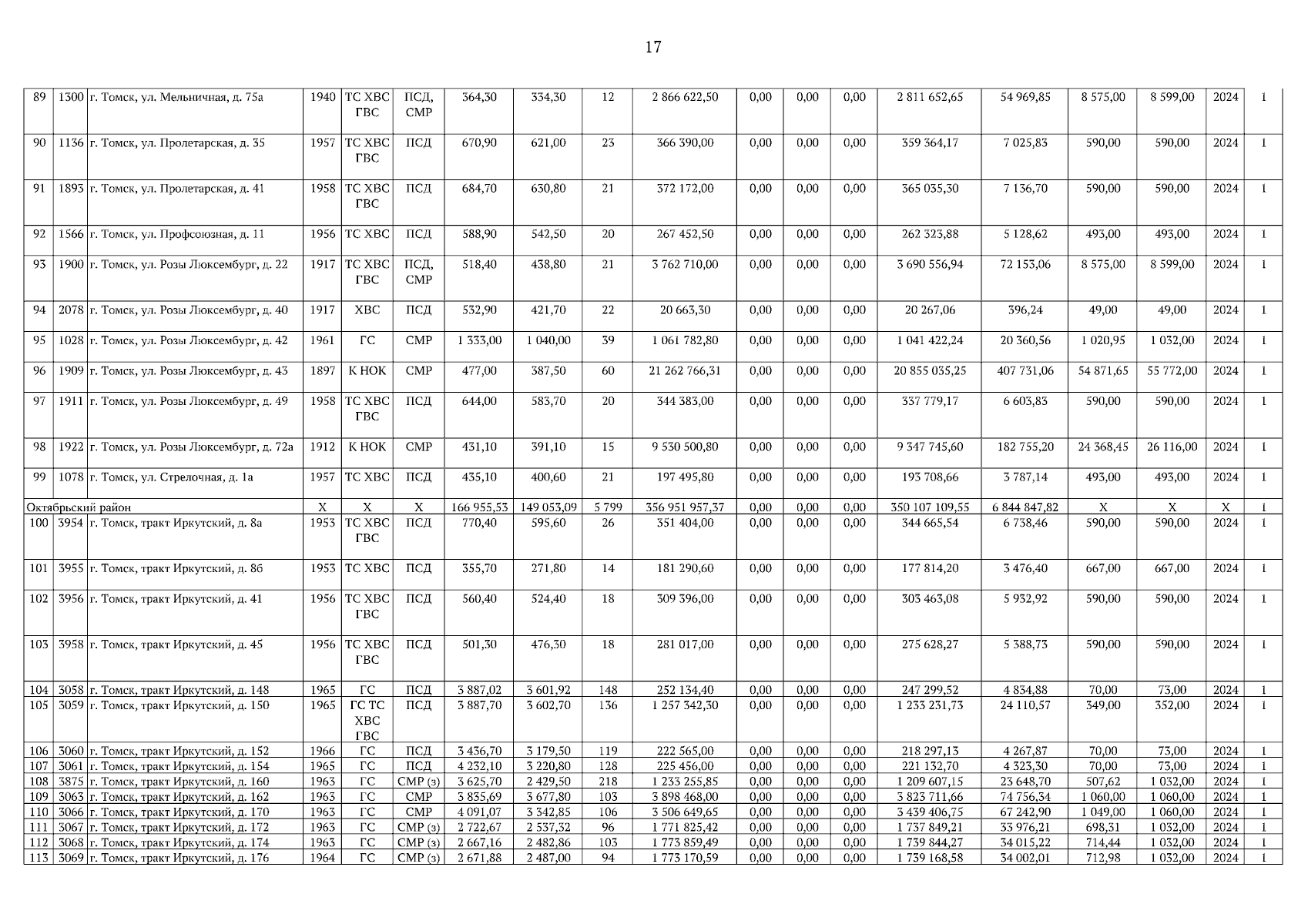
Страница №17 из 164:
Увеличить