Официальное опубликование правовых актов
ОФИЦИАЛЬНОЕ ОПУБЛИКОВАНИЕ
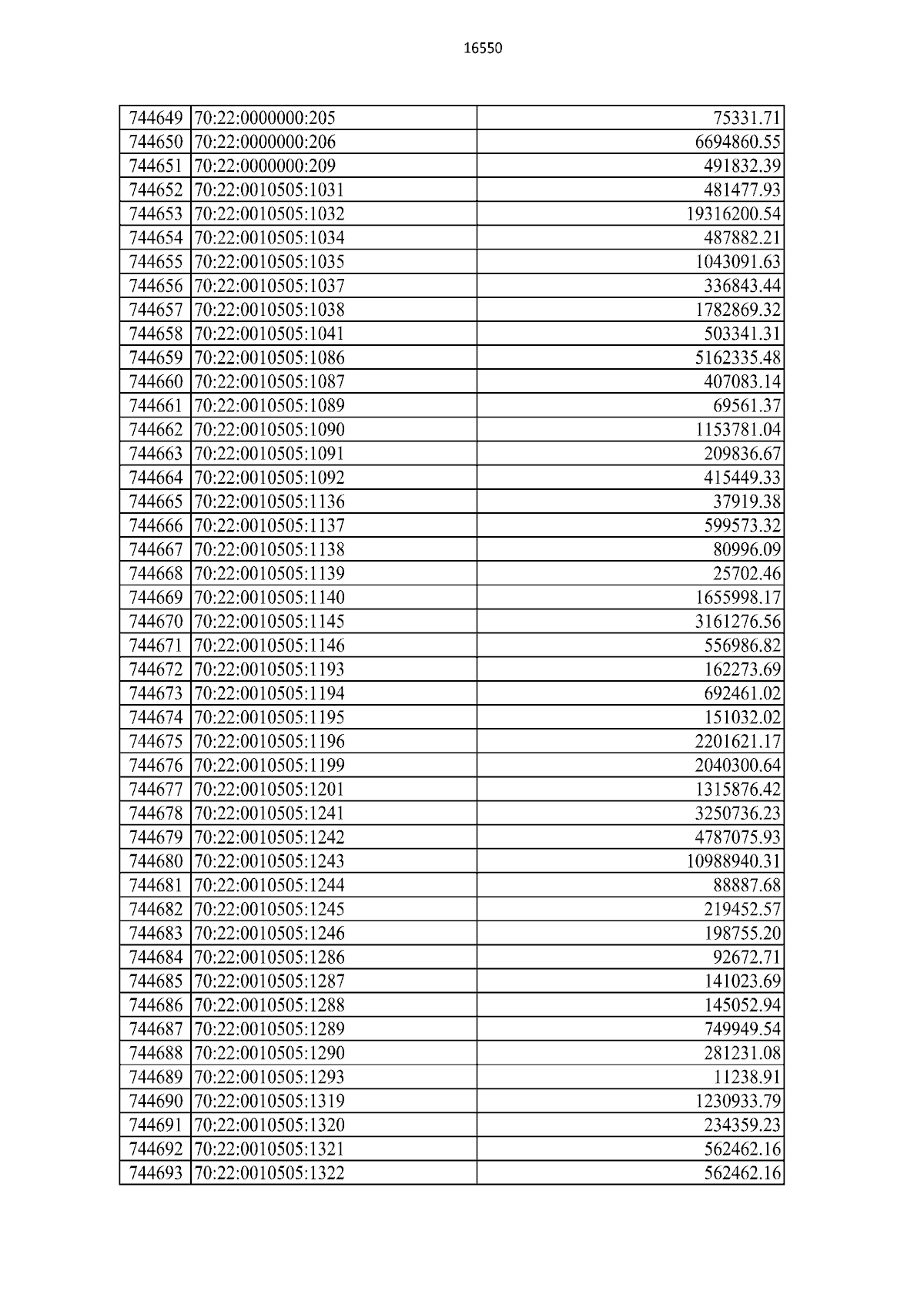
Приказ Департамента по управлению государственной собственностью Томской области от 24.11.2023 № 59
"Об утверждении результатов определения кадастровой стоимости зданий, помещений, сооружений, объектов незавершенного строительства, машино-мест, расположенных на территории Томской области"
(Зарегистрирован 27.11.2023 № 1144-51/2023)
Номер опубликования: 7001202311280001
Дата опубликования: 28.11.2023
Страница №16550 из 17020:
Увеличить