Официальное опубликование правовых актов
ОФИЦИАЛЬНОЕ ОПУБЛИКОВАНИЕ
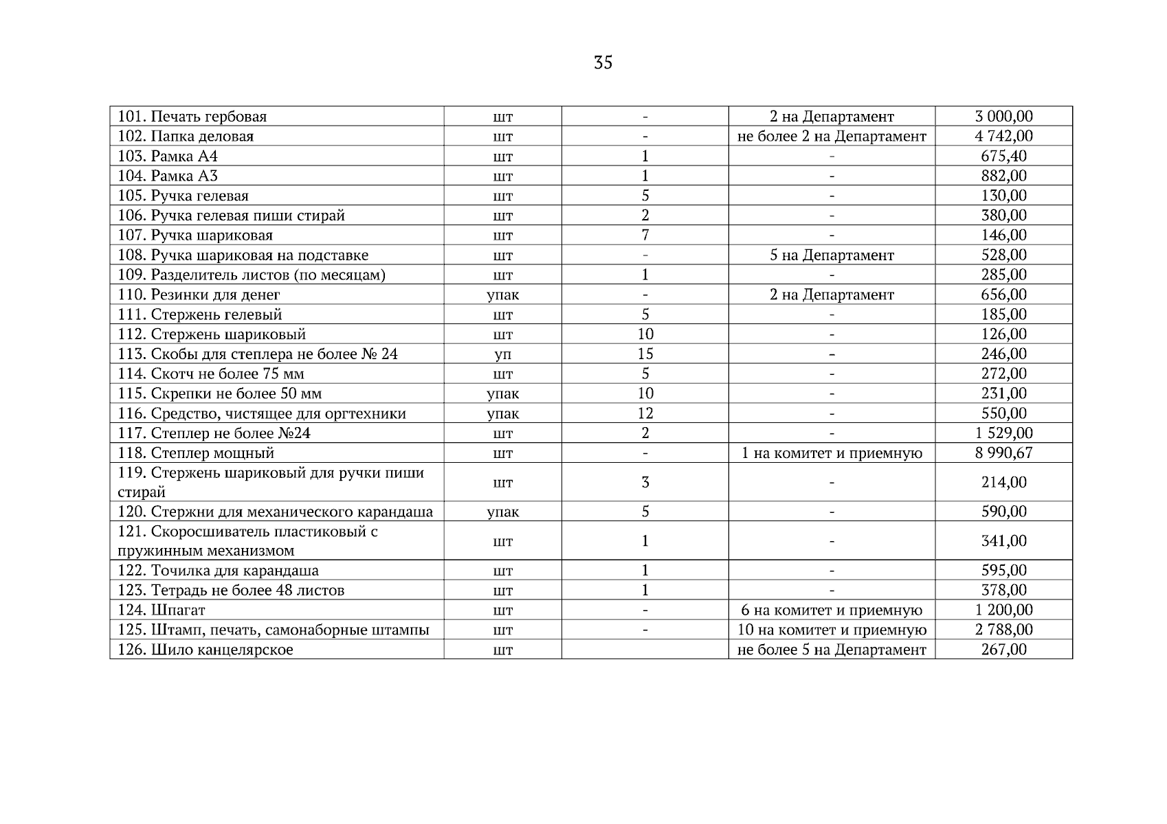
Приказ Департамента лицензирования и регионального государственного контроля Томской области от 24.11.2023 № 2215
"Об утверждении нормативных затрат на обеспечение функций Департамента лицензирования и регионального государственного контроля Томской области"
(Зарегистрирован 24.11.2023 № 1140-68/2023)
Номер опубликования: 7001202311270001
Дата опубликования: 27.11.2023
Страница №35 из 48:
Увеличить