Официальное опубликование правовых актов
ОФИЦИАЛЬНОЕ ОПУБЛИКОВАНИЕ
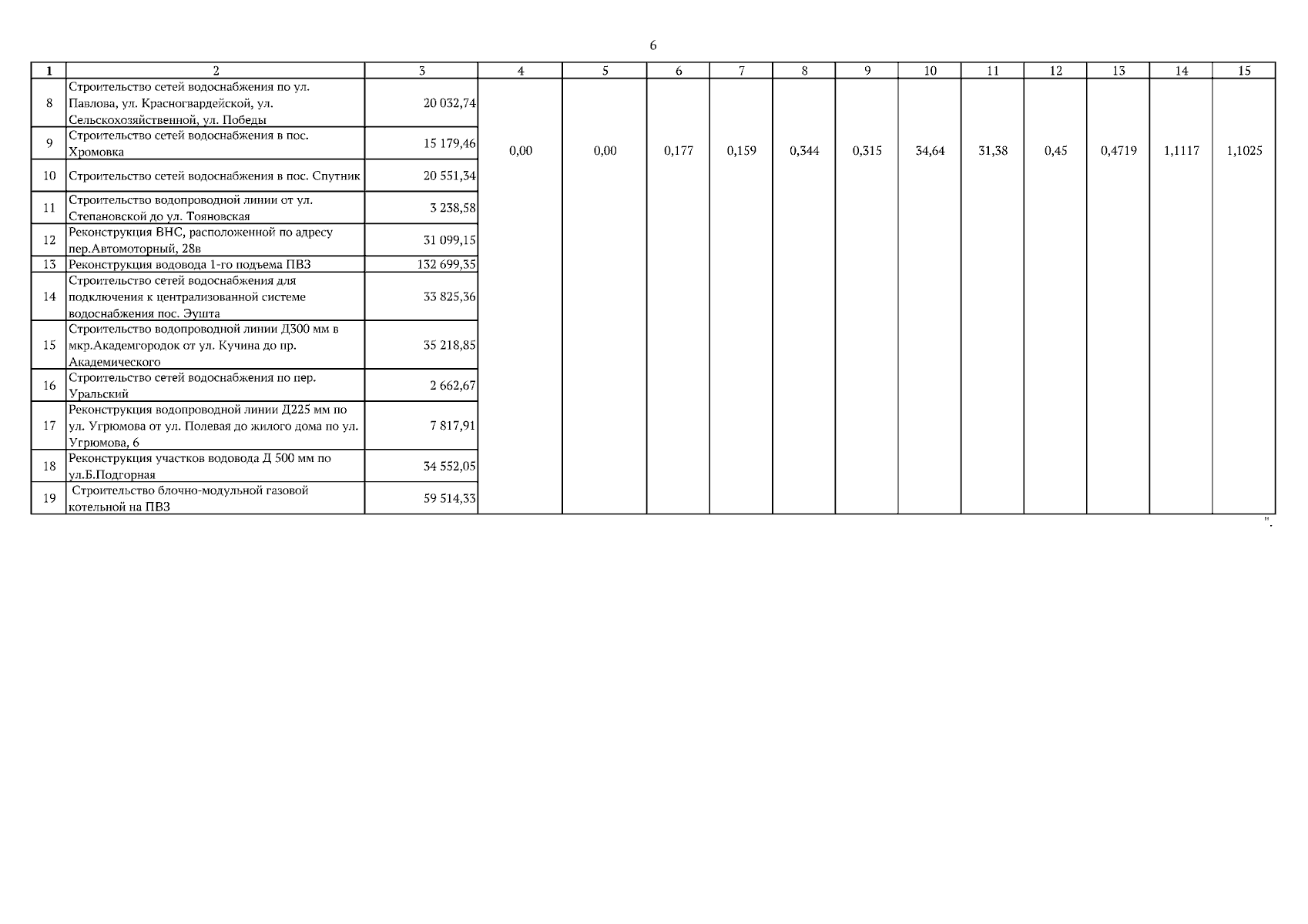
Приказ Департамента тарифного регулирования Томской области от 20.11.2023 № 4-153
"О внесении изменений в приказ Департамента тарифного регулирования Томской области от 27.12.2018 № 4-715"
(Зарегистрирован 23.11.2023 № 1128-53/2023)
Номер опубликования: 7001202311240009
Дата опубликования: 24.11.2023
Страница №6 из 10:
Увеличить