Официальное опубликование правовых актов
ОФИЦИАЛЬНОЕ ОПУБЛИКОВАНИЕ
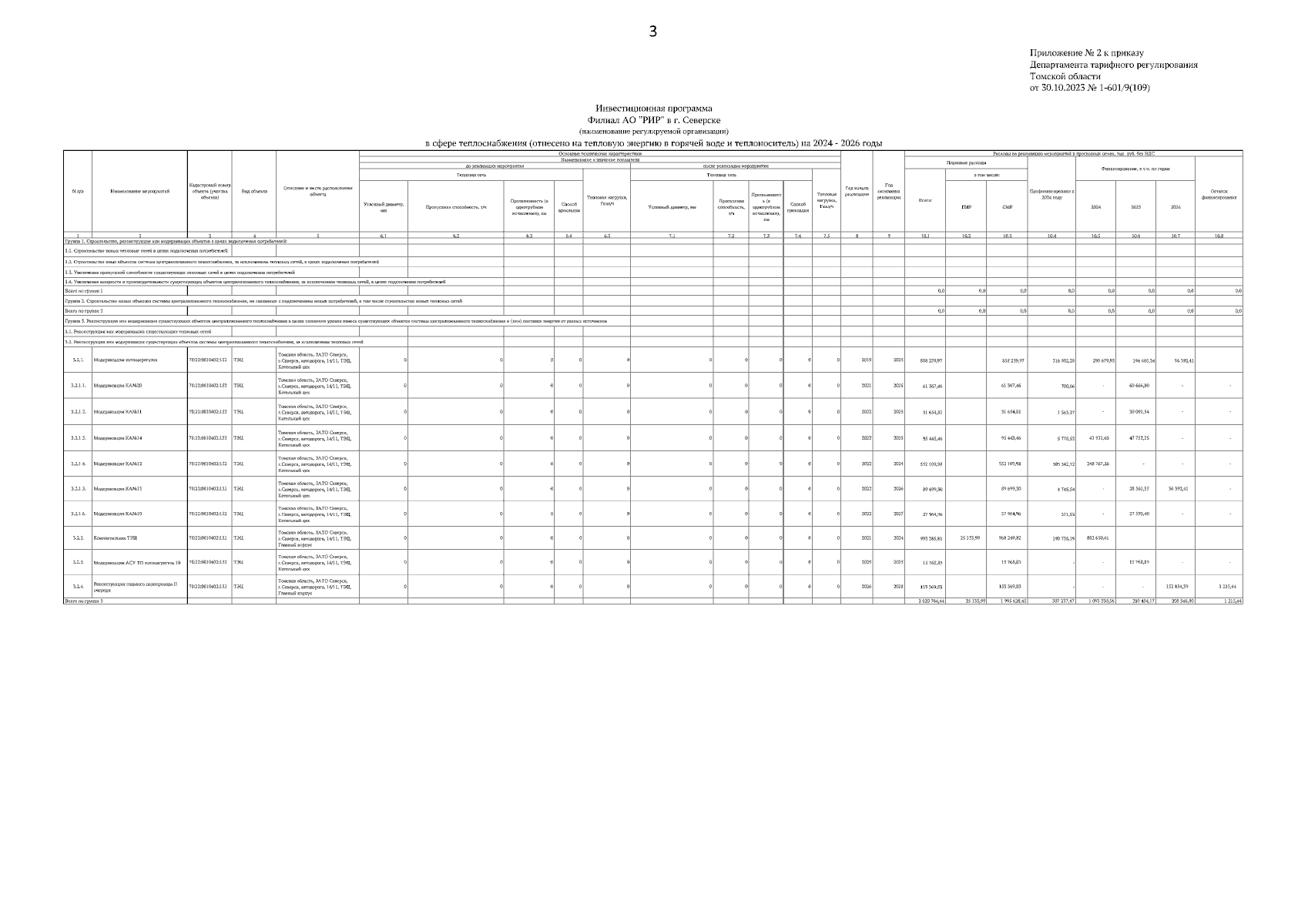
Приказ Департамента тарифного регулирования Томской области от 30.10.2023 № 1-601/9(109)
"Об утверждении инвестиционной программы акционерного общества "Русатом Инфраструктурные решения" (ИНН 7706757331) в сфере теплоснабжения на 2024 - 2026 годы"
(Зарегистрирован 09.11.2023 № 1057-53/2023)
Номер опубликования: 7001202311100001
Дата опубликования: 10.11.2023
Страница №3 из 9:
Увеличить