Официальное опубликование правовых актов
ОФИЦИАЛЬНОЕ ОПУБЛИКОВАНИЕ
Приказ Департамента тарифного регулирования Томской области от 30.10.2023 № 4-498/9(112)
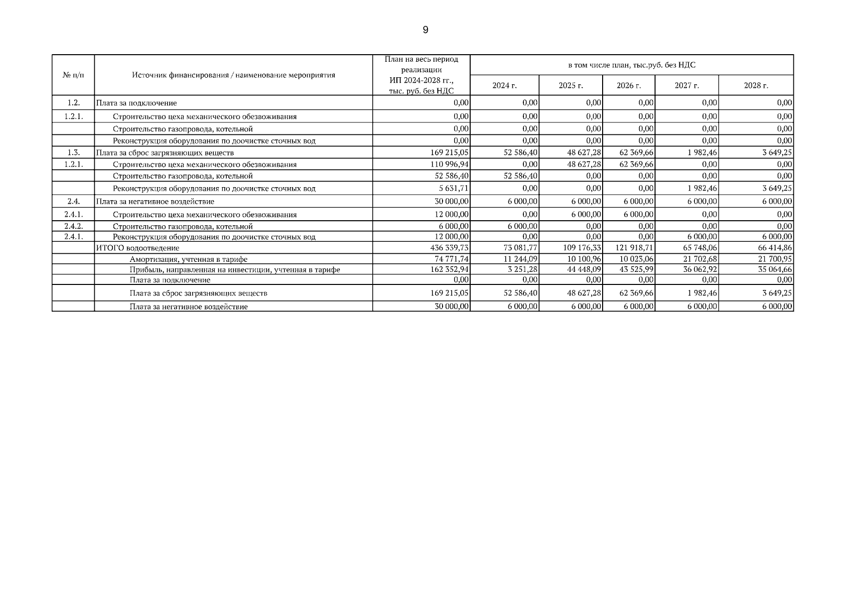
"Об утверждении инвестиционной программы общества с ограниченной ответственностью "Городские очистные сооружения" (ИНН 7017374014) в сфере водоотведения на 2024 - 2028 годы"
(Зарегистрирован 07.11.2023 № 1043-53/2023)
Номер опубликования: 7001202311090007
Дата опубликования: 09.11.2023
Страница №9 из 11:
Увеличить