Официальное опубликование правовых актов
ОФИЦИАЛЬНОЕ ОПУБЛИКОВАНИЕ
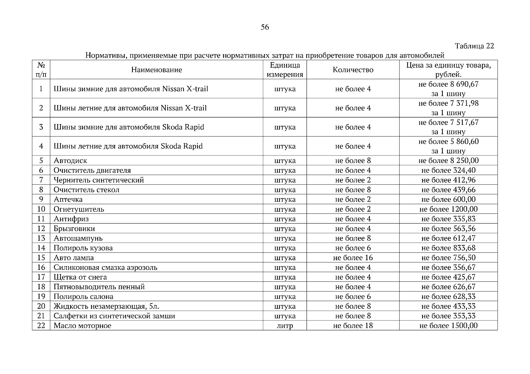
Приказ Департамента по управлению государственной собственностью Томской области от 31.10.2023 № 54
"О внесении изменения в приказ Департамента по управлению государственной собственностью Томской области от 15.12.2017 № 68"
(Зарегистрирован 01.11.2023 № 1016-51/2023)
Номер опубликования: 7001202311020008
Дата опубликования: 02.11.2023
Страница №56 из 59:
Увеличить