Официальное опубликование правовых актов
ОФИЦИАЛЬНОЕ ОПУБЛИКОВАНИЕ
Приказ Департамента социальной защиты населения Томской области от 01.09.2023 № 26
"О внесении изменений в приказ Департамента социальной защиты населения Томской области от 04.10.2022 № 34"
(Зарегистрирован 01.09.2023 № 815-59/2023)
Номер опубликования: 7001202309040003
Дата опубликования: 04.09.2023
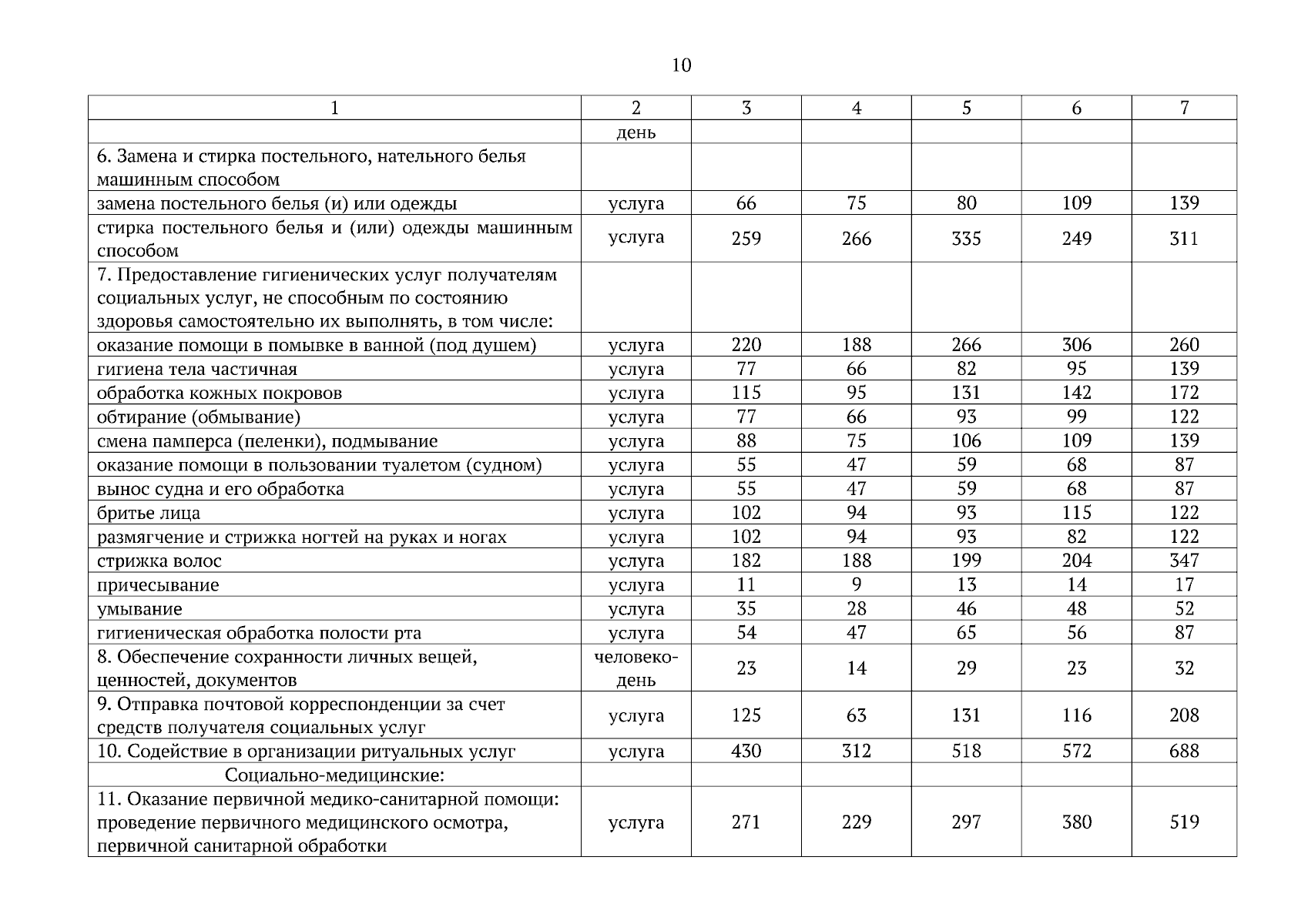
Страница №10 из 21:
Увеличить