Официальное опубликование правовых актов
ОФИЦИАЛЬНОЕ ОПУБЛИКОВАНИЕ
Приказ Департамента здравоохранения Томской области от 25.07.2023 № 39
"О внесении изменений в приказ Департамента здравоохранения Томской области от 24.03.2021 № 18"
(Зарегистрирован 26.07.2023 № 735-60/2023)
Номер опубликования: 7001202307280001
Дата опубликования: 28.07.2023
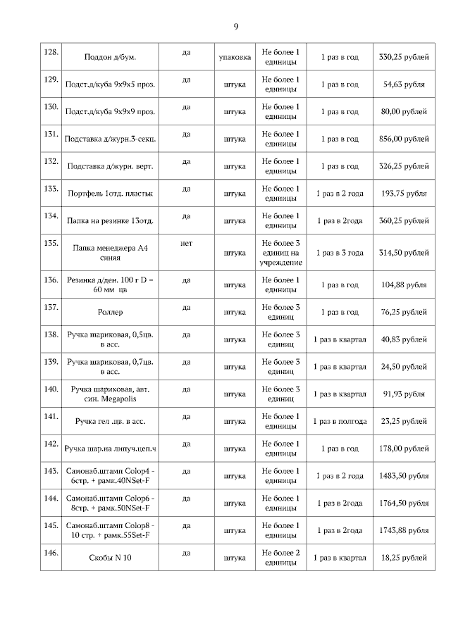
Страница №9 из 14:
Увеличить