Официальное опубликование правовых актов
ОФИЦИАЛЬНОЕ ОПУБЛИКОВАНИЕ
Приказ Департамента по управлению государственной собственностью Томской области от 11.05.2023 № 26
"О внесении изменения в приказ Департамента по управлению государственной собственностью Томской области от 15.12.2017 № 68"
(Зарегистрирован 12.05.2023 № 485-51/2023)
Номер опубликования: 7001202305150005
Дата опубликования: 15.05.2023
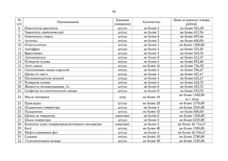
Страница №56 из 59:
Увеличить