Официальное опубликование правовых актов
ОФИЦИАЛЬНОЕ ОПУБЛИКОВАНИЕ
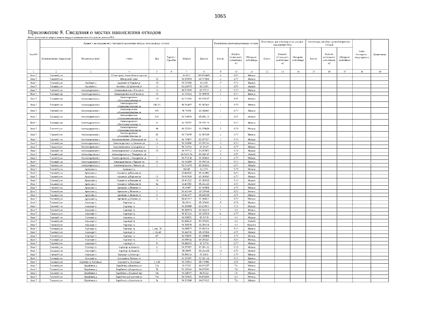
Приказ Департамента природных ресурсов и охраны окружающей среды Томской области от 21.04.2023 № 76
"О внесении изменений в приказ Департамента природных ресурсов и охраны окружающей среды Томской области от 16.11.2022 № 199"
(Зарегистрирован 25.04.2023 № 436-63/2023)
Номер опубликования: 7001202304260002
Дата опубликования: 26.04.2023
Страница №1066 из 1239:
Увеличить