Официальное опубликование правовых актов
ОФИЦИАЛЬНОЕ ОПУБЛИКОВАНИЕ
Приказ Департамента природных ресурсов и охраны окружающей среды Томской области от 12.04.2023 № 68
"О внесении изменений в приказ Департамента природных ресурсов и охраны окружающей среды Томской области от 16.11.2022 № 199"
(Зарегистрирован 12.04.2023 № 391-63/2023)
Номер опубликования: 7001202304170001
Дата опубликования: 17.04.2023
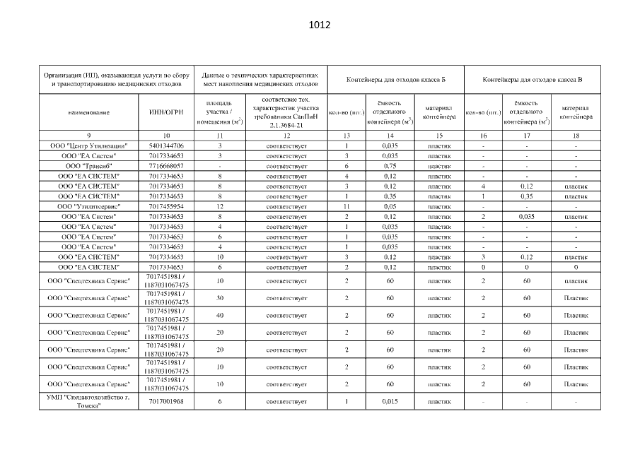
Страница №1013 из 1024:
Увеличить