Официальное опубликование правовых актов
ОФИЦИАЛЬНОЕ ОПУБЛИКОВАНИЕ
Приказ Департамента ЖКХ и государственного жилищного надзора Томской области от 27.03.2023 № 15
"О внесении изменения в приказ Департамента ЖКХ и государственного жилищного надзора Томской области от 16.06.2022 № 40"
(Зарегистрирован 29.03.2023 № 338-71/2023)
Номер опубликования: 7001202303310010
Дата опубликования: 31.03.2023
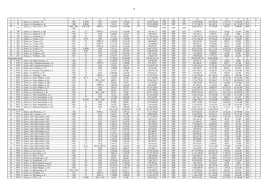
Страница №4 из 47:
Увеличить