Официальное опубликование правовых актов
ОФИЦИАЛЬНОЕ ОПУБЛИКОВАНИЕ
Приказ Департамента природных ресурсов и охраны окружающей среды Томской области от 30.01.2023 № 23
"О внесении изменений в приказ Департамента природных ресурсов и охраны окружающей среды Томской области от 28.10.2016 № 121"
(Зарегистрирован 30.01.2023 № 74-63/2023)
Номер опубликования: 7001202302020008
Дата опубликования: 02.02.2023
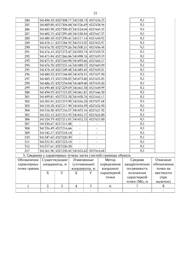
Страница №23 из 35:
Увеличить