Официальное опубликование правовых актов
ОФИЦИАЛЬНОЕ ОПУБЛИКОВАНИЕ
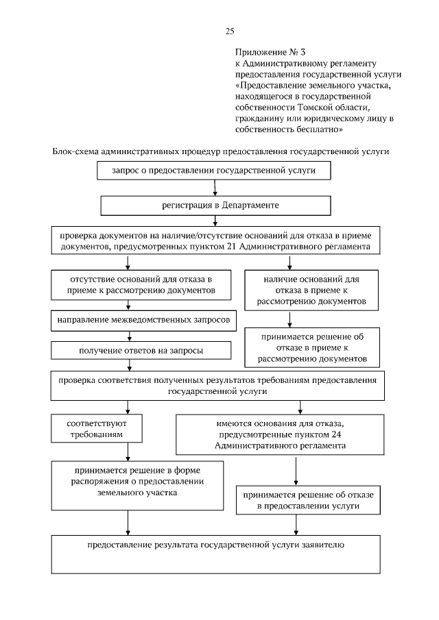
Приказ Департамента по управлению государственной собственностью Томской области от 23.12.2022 № 52
"Об утверждении Административного регламента предоставления государственной услуги "Предоставление земельного участка, находящегося в государственной собственности Томской области, гражданину или юридическому лицу в собственность бесплатно"
Номер опубликования: 7001202212260023
Дата опубликования: 26.12.2022
Страница №25 из 25:
Увеличить