Приказ Департамента по управлению государственной собственностью Томской области от 23.12.2022 № 51
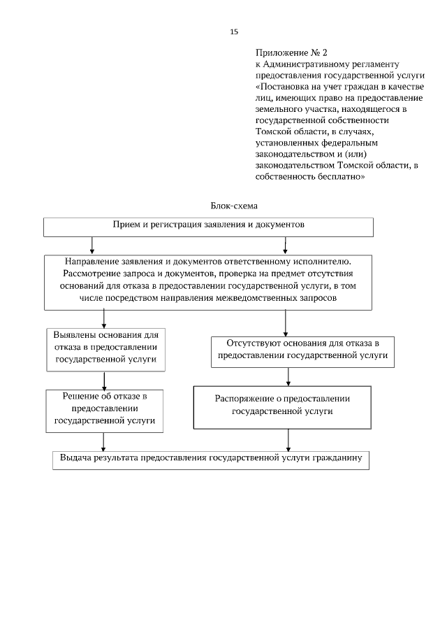
"Об утверждении Административного регламента предоставления государственной услуги "Постановка граждан на учет в качестве лиц, имеющих право на предоставление земельных участков, находящихся в государственной собственности Томской области, в собственность бесплатно"
"Об утверждении Административного регламента предоставления государственной услуги "Постановка граждан на учет в качестве лиц, имеющих право на предоставление земельных участков, находящихся в государственной собственности Томской области, в собственность бесплатно"
Номер опубликования: 7001202212260021
Дата опубликования:
26.12.2022
