Официальное опубликование правовых актов
ОФИЦИАЛЬНОЕ ОПУБЛИКОВАНИЕ
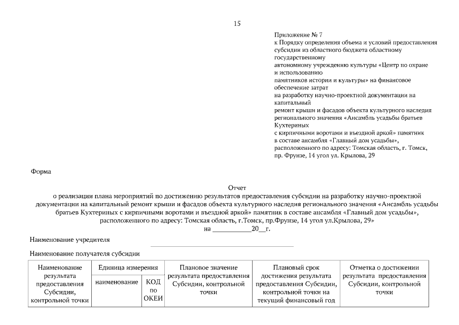
Приказ Комитета по охране объектов культурного наследия Томской области от 22.12.2022 № 0252/01-07
"О внесении изменений в приказ Комитета по охране объектов культурного наследия Томской области от 22.11.2021 № 0147/01-07"
Номер опубликования: 7001202212260018
Дата опубликования: 26.12.2022
Страница №16 из 17:
Увеличить