Официальное опубликование правовых актов
ОФИЦИАЛЬНОЕ ОПУБЛИКОВАНИЕ
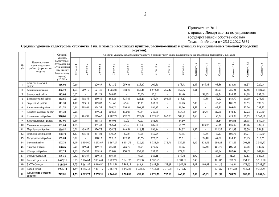
Приказ Департамента по управлению государственной собственностью Томской области от 23.12.2022 № 54
"Об утверждении среднего уровня кадастровой стоимости земель на территории Томской области"
Номер опубликования: 7001202212260005
Дата опубликования: 26.12.2022
Страница №2 из 8:
Увеличить