Официальное опубликование правовых актов
ОФИЦИАЛЬНОЕ ОПУБЛИКОВАНИЕ
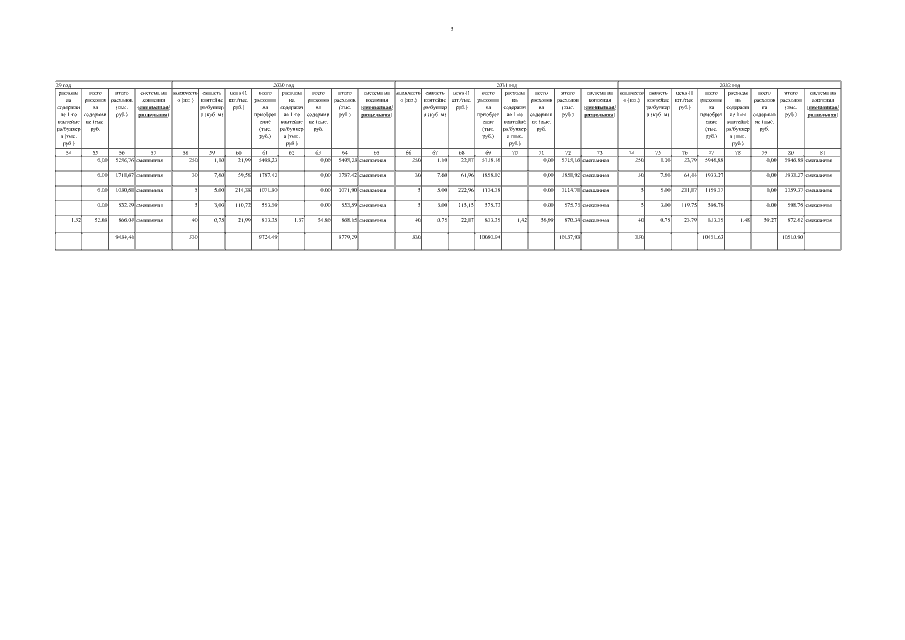
Приказ Департамента природных ресурсов и охраны окружающей среды Томской области от 16.11.2022 № 199
"Об утверждении территориальной схемы обращения с отходами, в том числе с твердыми коммунальными отходами, Томской области"
Номер опубликования: 7001202211230032
Дата опубликования: 23.11.2022
Страница №1598 из 1718:
Увеличить