Официальное опубликование правовых актов
ОФИЦИАЛЬНОЕ ОПУБЛИКОВАНИЕ
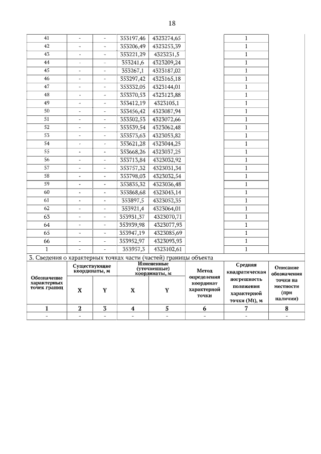
Приказ Департамента природных ресурсов и охраны окружающей среды Томской области от 23.11.2022 № 202
"О внесении изменений в приказ Департамента природных ресурсов и охраны окружающей среды Томской области от 31.03.2011 № 106"
Номер опубликования: 7001202211230010
Дата опубликования: 23.11.2022
Страница №18 из 28:
Увеличить