Официальное опубликование правовых актов
ОФИЦИАЛЬНОЕ ОПУБЛИКОВАНИЕ
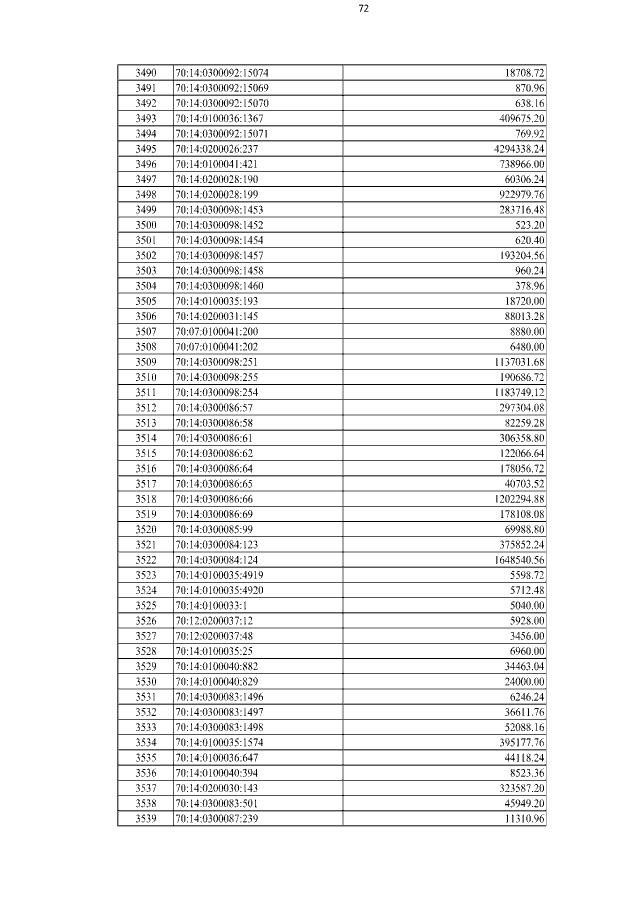
Приказ Департамента по управлению государственной собственностью Томской области от 08.11.2022 № 40
"Об утверждении результатов определения кадастровой стоимости земельных участков, расположенных на территории Томской области"
Номер опубликования: 7001202211100002
Дата опубликования: 10.11.2022
Страница №72 из 8935:
Увеличить