Официальное опубликование правовых актов
ОФИЦИАЛЬНОЕ ОПУБЛИКОВАНИЕ
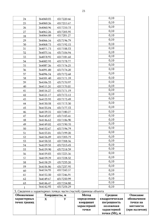
Приказ Департамента природных ресурсов и охраны окружающей среды Томской области от 07.11.2022 № 189
"Об установлении границ и режима зон санитарной охраны водозаборов № 1 и № 2, используемых для целей питьевого и хозяйственно-бытового водоснабжения населения г. Северск ЗАТО Северск Томской области"
Номер опубликования: 7001202211070009
Дата опубликования: 07.11.2022
Страница №23 из 169:
Увеличить