Официальное опубликование правовых актов
ОФИЦИАЛЬНОЕ ОПУБЛИКОВАНИЕ
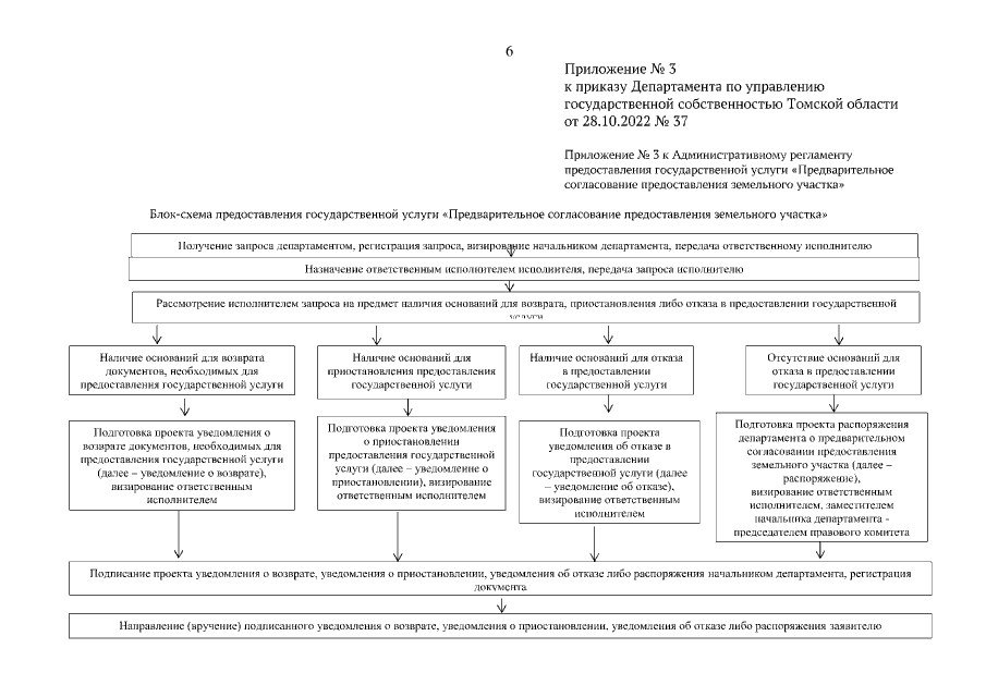
Приказ Департамента по управлению государственной собственностью Томской области от 28.10.2022 № 37
"О внесении изменений в приказ Департамента по управлению государственной собственностью Томской области от 28.02.2020 № 8"
Номер опубликования: 7001202210280009
Дата опубликования: 28.10.2022
Страница №6 из 6:
Увеличить