Официальное опубликование правовых актов
ОФИЦИАЛЬНОЕ ОПУБЛИКОВАНИЕ
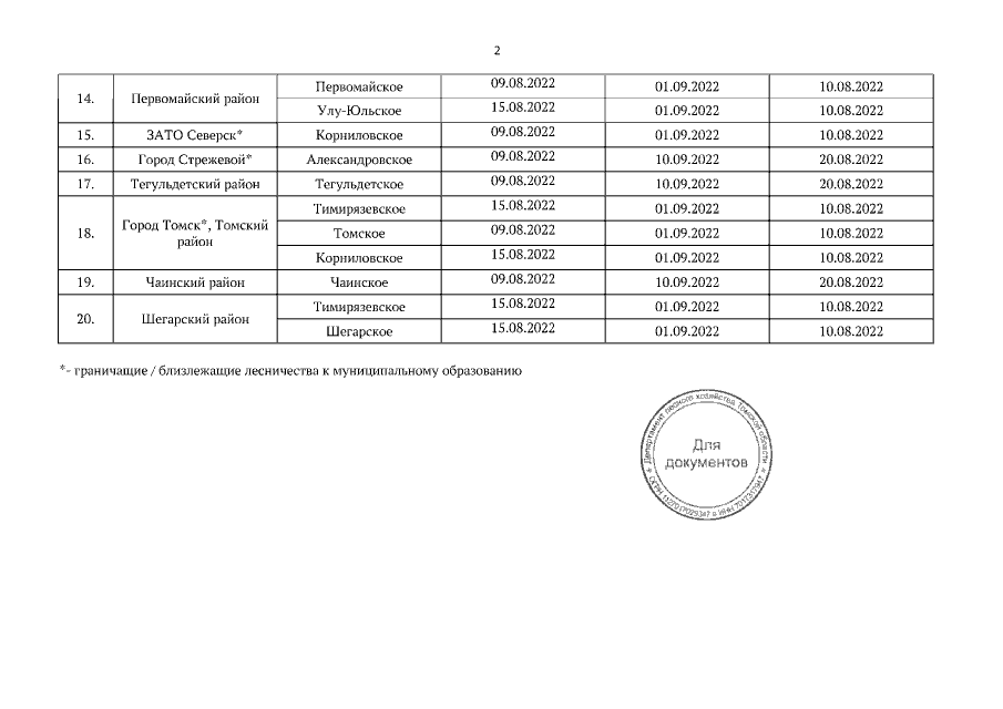
Приказ Департамента лесного хозяйства Томской области от 15.07.2022 № 45
"Об определении сроков заготовки гражданами отдельных видов пищевых лесных ресурсов для собственных нужд на территории Томской области в 2022 году"
Номер опубликования: 7001202207150002
Дата опубликования: 15.07.2022
Страница №3 из 3:
Увеличить