Официальное опубликование правовых актов
ОФИЦИАЛЬНОЕ ОПУБЛИКОВАНИЕ
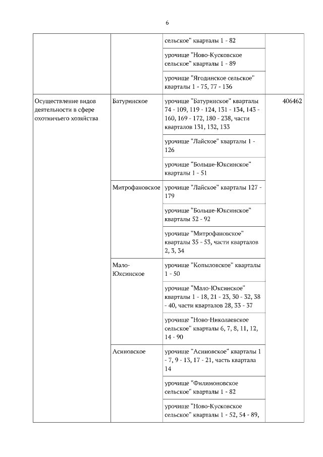
Приказ Департамента лесного хозяйства Томской области от 05.07.2022 № 25
"О внесении изменений в лесохозяйственный регламент Асиновского лесничества Томской области"
Номер опубликования: 7001202207060015
Дата опубликования: 06.07.2022
Страница №6 из 26:
Увеличить