Официальное опубликование правовых актов
ОФИЦИАЛЬНОЕ ОПУБЛИКОВАНИЕ
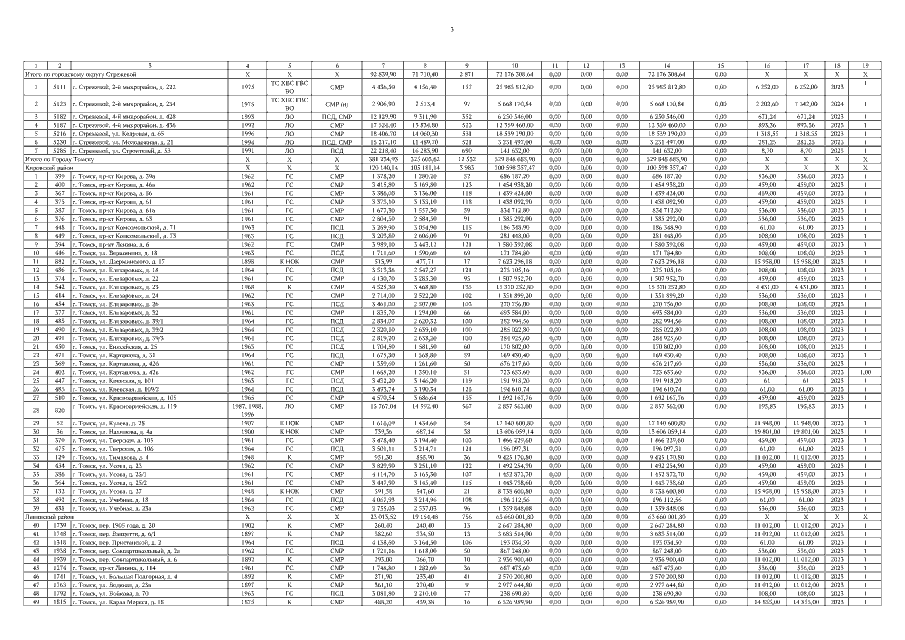
Приказ Департамента ЖКХ и государственного жилищного надзора Томской области от 16.06.2022 № 40
"Об утверждении Краткосрочного плана реализации в 2023-2025 годах Региональной программы капитального ремонта общего имущества в многоквартирных домах, расположенных на территории Томской области"
Номер опубликования: 7001202206220001
Дата опубликования: 22.06.2022
Страница №3 из 38:
Увеличить