Официальное опубликование правовых актов
ОФИЦИАЛЬНОЕ ОПУБЛИКОВАНИЕ
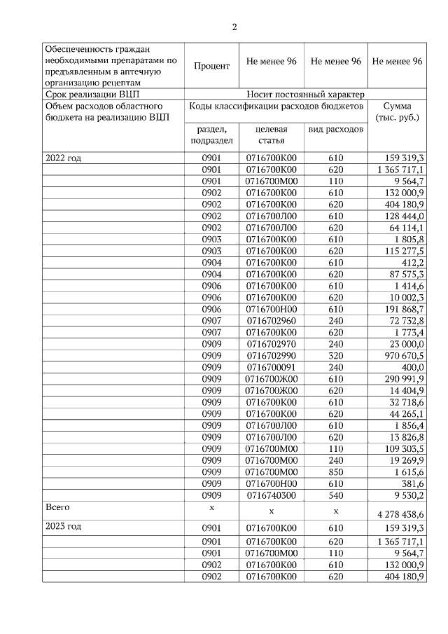
Приказ Департамента здравоохранения Томской области от 09.03.2022 № 7
"Об утверждении ведомственной целевой программы "Оказание медицинской помощи, включая профилактику заболеваний и формирование здорового образа жизни"
Номер опубликования: 7001202203090006
Дата опубликования: 09.03.2022
Страница №3 из 33:
Увеличить