Официальное опубликование правовых актов
ОФИЦИАЛЬНОЕ ОПУБЛИКОВАНИЕ
Приказ Департамента природных ресурсов и охраны окружающей среды Томской области от 02.02.2022 № 20
"О внесении изменения в приказ Департамента природных ресурсов и охраны окружающей среды Томской области от 26.09.2019 № 141"
Номер опубликования: 7001202202030001
Дата опубликования: 03.02.2022
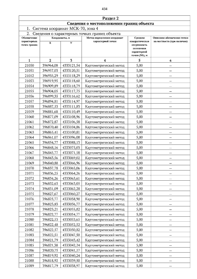
Страница №434 из 804:
Увеличить