Официальное опубликование правовых актов
ОФИЦИАЛЬНОЕ ОПУБЛИКОВАНИЕ
Приказ Комитета по охране объектов культурного наследия Томской области от 27.01.2022 № 0013/01-07
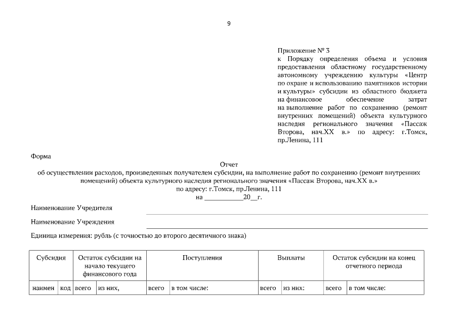
"Об утверждении порядка определения объема и условия предоставления ОГАУК "Центр по охране памятников" субсидии из областного бюджета на финансовое обеспечение затрат на выполнение работ по сохранению (ремонт внутренних помещений) объекта культурного наследия регионального значения "Пассаж Второва, нач.XX в." по адресу: г.Томск, пр.Ленина, 111"
Номер опубликования: 7001202201280001
Дата опубликования: 28.01.2022
Страница №10 из 15:
Увеличить