Официальное опубликование правовых актов
ОФИЦИАЛЬНОЕ ОПУБЛИКОВАНИЕ
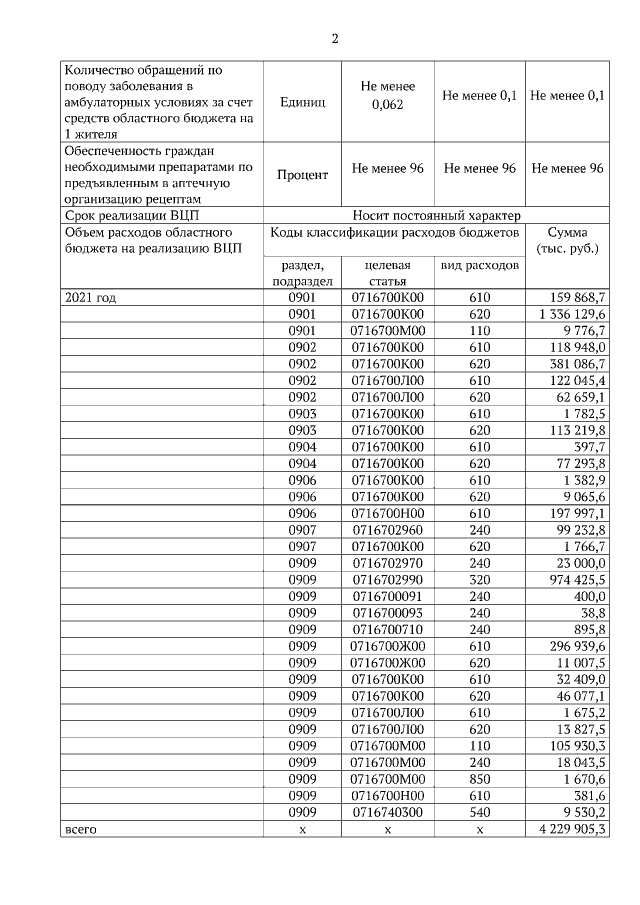
Приказ Департамента здравоохранения Томской области от 24.12.2021 № 83
"О внесении изменения в приказ Департамента здравоохранения Томской области от 17.11.2021 № 65"
Номер опубликования: 7001202112240021
Дата опубликования: 24.12.2021
Страница №3 из 34:
Увеличить