Официальное опубликование правовых актов
ОФИЦИАЛЬНОЕ ОПУБЛИКОВАНИЕ
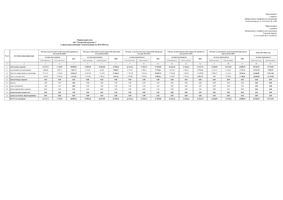
Приказ Департамента тарифного регулирования Томской области от 19.11.2021 № 4-235
"О внесении изменений в приказ Департамента тарифного регулирования Томской области от 14.12.2018 № 4-795/9(531)"
Номер опубликования: 7001202111220013
Дата опубликования: 22.11.2021
Страница №6 из 6:
Увеличить