Официальное опубликование правовых актов
ОФИЦИАЛЬНОЕ ОПУБЛИКОВАНИЕ
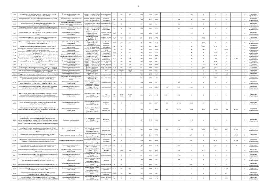
Приказ Департамента тарифного регулирования Томской области от 19.11.2021 № 1-232
"О внесении изменений в приказ Департамента тарифного регулирования Томской области от 29.10.2018 № 1-716/9(229)"
Номер опубликования: 7001202111220001
Дата опубликования: 22.11.2021
Страница №3 из 5:
Увеличить