Официальное опубликование правовых актов
ОФИЦИАЛЬНОЕ ОПУБЛИКОВАНИЕ
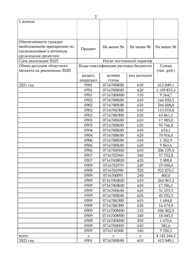
Приказ Департамента здравоохранения Томской области от 17.11.2021 № 65
"Об утверждении ведомственной целевой программы "Оказание медицинской помощи, включая профилактику заболеваний и формирование здорового образа жизни"
Номер опубликования: 7001202111190015
Дата опубликования: 19.11.2021
Страница №3 из 43:
Увеличить