Официальное опубликование правовых актов
ОФИЦИАЛЬНОЕ ОПУБЛИКОВАНИЕ
Приказ Департамента природных ресурсов и охраны окружающей среды Томской области от 28.10.2021 № 151
"О внесении изменения в приказ Департамента природных ресурсов и охраны окружающей среды Томской области от 15.02.2021 № 28"
Номер опубликования: 7001202110280006
Дата опубликования: 28.10.2021
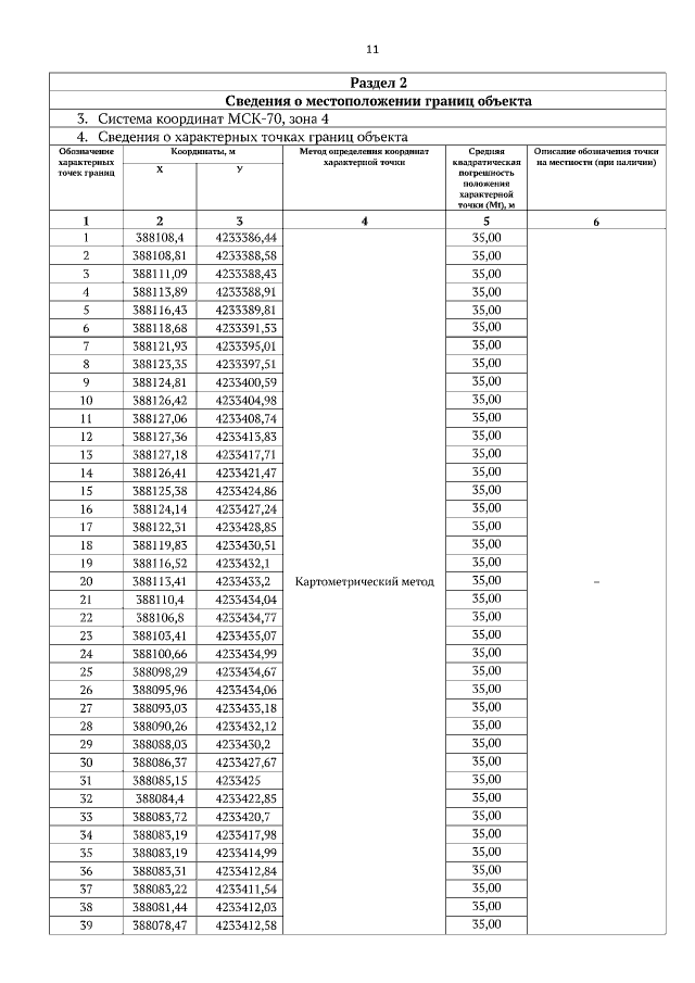
Страница №11 из 23:
Увеличить