Официальное опубликование правовых актов
ОФИЦИАЛЬНОЕ ОПУБЛИКОВАНИЕ
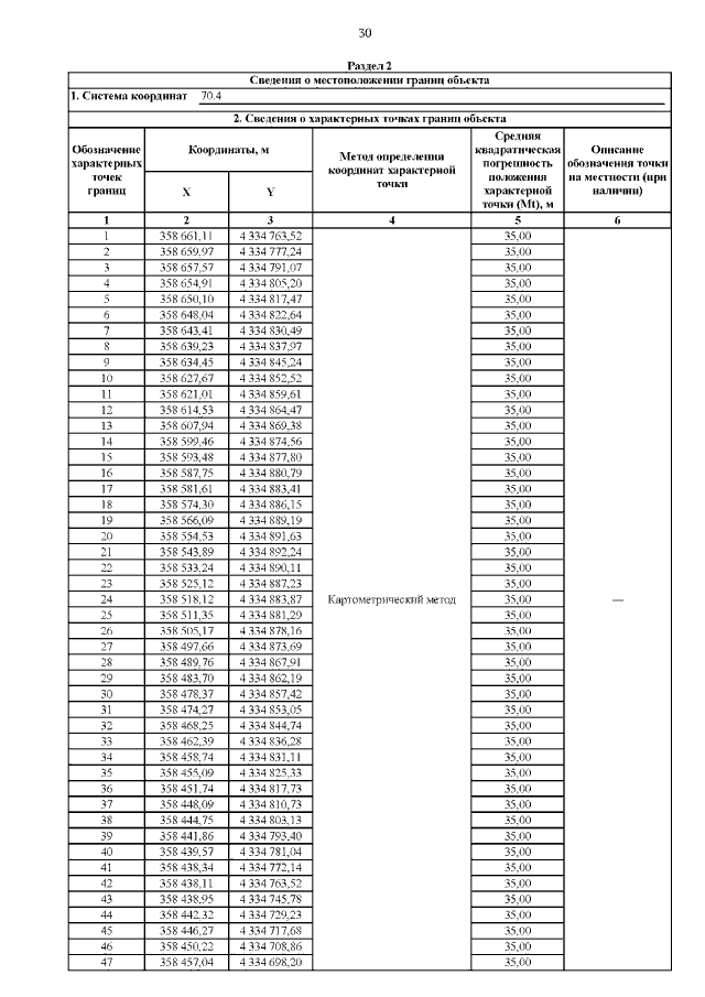
Приказ Департамента природных ресурсов и охраны окружающей среды Томской области от 22.10.2021 № 142
"О внесении изменения в приказ Департамента природных ресурсов и охраны окружающей среды Томской области от 30.10.2019 № 163"
Номер опубликования: 7001202110260007
Дата опубликования: 26.10.2021
Страница №30 из 179:
Увеличить