Официальное опубликование правовых актов
ОФИЦИАЛЬНОЕ ОПУБЛИКОВАНИЕ
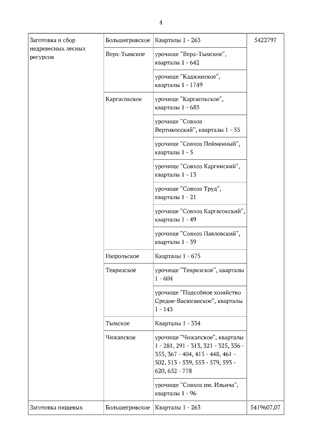
Приказ Департамента лесного хозяйства Томской области от 28.07.2021 № 34
"О внесении изменений в лесохозяйственный регламент Каргасокского лесничества Томской области"
Номер опубликования: 7001202107290003
Дата опубликования: 29.07.2021
Страница №4 из 26:
Увеличить