Официальное опубликование правовых актов
ОФИЦИАЛЬНОЕ ОПУБЛИКОВАНИЕ
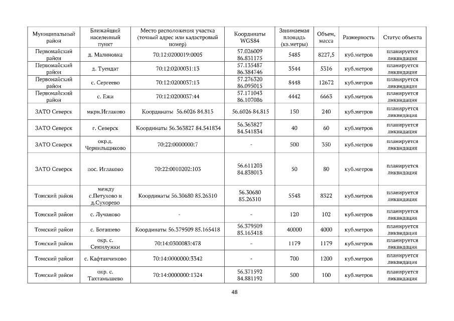
Приказ Департамента природных ресурсов и охраны окружающей среды Томской области от 15.04.2021 № 67
"Об утверждении территориальной схемы обращения с отходами, в том числе с твердыми коммунальными отходами, Томской области"
Номер опубликования: 7001202104160004
Дата опубликования: 16.04.2021
Страница №48 из 95:
Увеличить