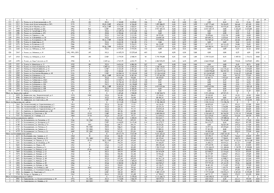
Приказ Департамента ЖКХ и государственного жилищного надзора Томской области от 25.12.2020 № 49
"О внесении изменения в приказ Департамента ЖКХ и государственного жилищного надзора Томской области от 02.04.2019 № 20"
"О внесении изменения в приказ Департамента ЖКХ и государственного жилищного надзора Томской области от 02.04.2019 № 20"
Номер опубликования: 7001202012280013
Дата опубликования:
28.12.2020
