Официальное опубликование правовых актов
ОФИЦИАЛЬНОЕ ОПУБЛИКОВАНИЕ
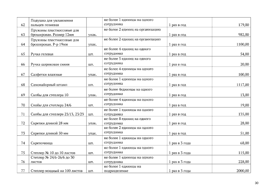
Приказ Департамента финансово-ресурсного обеспечения Администрации Томской области от 23.11.2020 № 37/03-88
"Об утверждении внесения изменений в приказ от 06.04.2016 № 37/03-71"
Номер опубликования: 7001202011250001
Дата опубликования: 25.11.2020
Страница №30 из 34:
Увеличить