Официальное опубликование правовых актов
ОФИЦИАЛЬНОЕ ОПУБЛИКОВАНИЕ
Приказ Департамента финансов Томской области от 11.09.2020 № 52
"Об утверждении Решения об эмиссии облигаций биржевого внутреннего займа Томской области с фиксированным купонным доходом и амортизацией долга (государственный регистрационный номер RU35067TMS0)"
Номер опубликования: 7001202009160013
Дата опубликования: 16.09.2020
Страница №7 из 14:
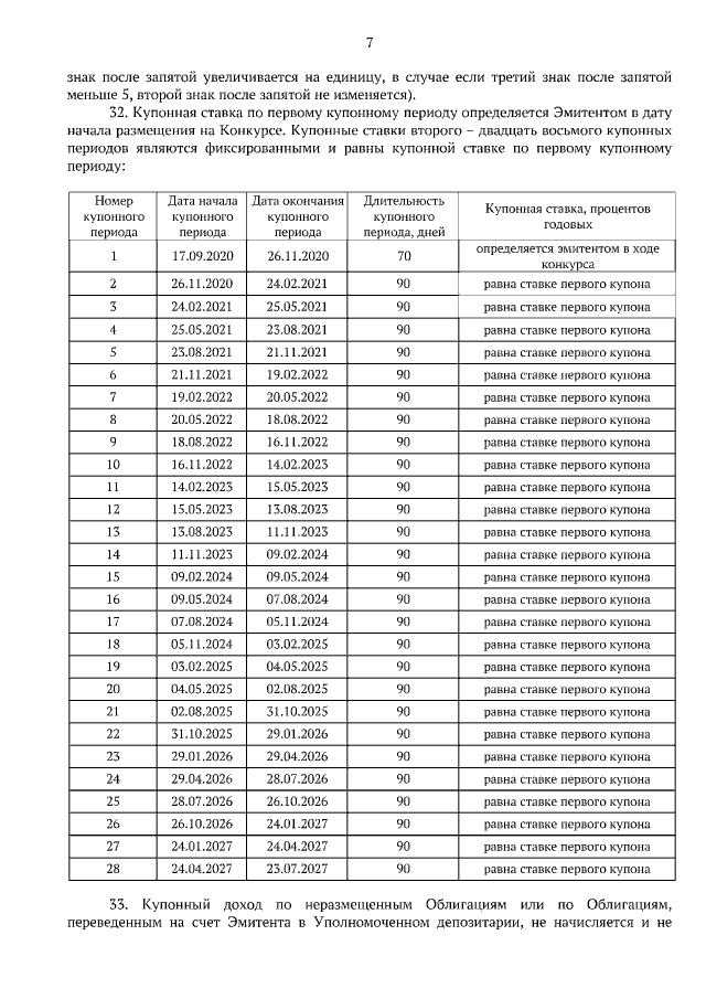
Увеличить