Официальное опубликование правовых актов
ОФИЦИАЛЬНОЕ ОПУБЛИКОВАНИЕ
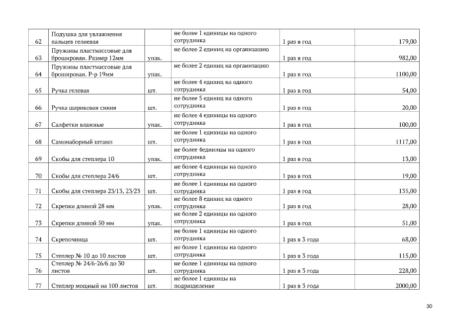
Приказ Департамента финансово-ресурсного обеспечения Администрации Томской области от 31.07.2020 № 37/03-86
"Об утверждении внесения изменений в приказ от 06.04.2016 № 37/03-71"
Номер опубликования: 7001202008040001
Дата опубликования: 04.08.2020
Страница №30 из 34:
Увеличить