Официальное опубликование правовых актов
ОФИЦИАЛЬНОЕ ОПУБЛИКОВАНИЕ
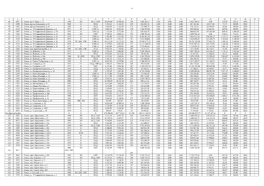
Приказ Департамента ЖКХ и государственного жилищного надзора Томской области от 31.07.2019 № 44
"О внесении изменения в приказ Департамента ЖКХ и государственного жилищного надзора Томской области от 12.12.2017 № 44"
Номер опубликования: 7001201908010003
Дата опубликования: 01.08.2019
Страница №11 из 64:
Увеличить